Abstract
Introduction
Despite significant improvement in overall survival, most multiple myeloma (MM) patients inevitably, yet unpredictably, develop refractory disease. The purpose of this study was to evaluate the effect of daratumumab as single agent or in combination in high risk relapse refractory (RR) myeloma population.
Methods
The UAMS Myeloma data base was interrogated to identify patients with relapsed refractory Multiple Myeloma who received daratumumab either a monotherapy or in combination with other agents. Patient were risk stratified to high and low risk MM using gene expression profile (GEP) studies on bone marrow specimens collected within one year from the time of relapse. Patients were further risk stratified based on interphase FISH used for CKS1B (1q21), AHCYL1 (1p13), TP53 (17p13), and ERBB2 (17q11). A 20% cutoff point was used for detection of significant abnormalities. Gene expression profiling was performed on the U133 plus 2.0 microarrays. High risk was defined by ≥ 0.66 GEP-70 score. The patients were followed with serum Immunoglobin levels, Serum and urine M component, serum free light chains, PET CT and bone marrow examinations as indicated. Response rates were determined as per the IMWG criteria. Patients were treated using a dose of daratumumab at 16 mg/kg administered weekly for weeks 1 to 8; every two weeks for weeks 9 to 24; and then every four weeks until progression. Daratumumab and immunomodulatory drug combination (mostly pomalidomide) was used in 80% of treated patients, in the remaining 20% daratumumab was used in combination with proteasome inhibitors. Fourteen percent of patients received daratumumab in combination with both IMID and PI drugs.
Results
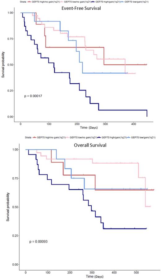
Eighty MM patients were identified with a median age of 58 years, 56% were male. The median time from diagnosis to daratumumab treatment was 5 years. All patients were previously exposed and failed proteasome inhibitors and IMiD drugs. Ninety-five percent progressed after autologous transplant. In 35 patients, interphase FISH at baseline identified 1q21 gain and 32 subjects carried high risk disease according to the GEP 70 score. Seven patients had deletion of 17p13. Seven patients received daratumumab as single agent 73 in combination therapy. The median event free survival for the entire study group was eight months, median for OS was not reached, however, patients with high risk GEP 70 and 1q21 gain experienced a significantly inferior outcome presenting with median EFS and OS of 4 and 12 months respectively (P < 0.001). Event free and overall survival are shown by subgroup in Figure 1.
Conclusions
Patients with high risk relapse/refractory myeloma defined by interphase FISH 1q21 gain and or GEP 70 high risk disease do not have a satisfactory response to daratumumab even in combination with IMID or PI drugs. This data suggests that anti MM activity of daratumumab may be impacted by genomic risk factors. Prospective studies are warranted to assess efficacy of daratumumab containing regimens at earlier stage of disease in this higher risk population.
Davies: Seattle Genetics: Consultancy, Honoraria; Takeda: Consultancy, Honoraria, Membership on an entity's Board of Directors or advisory committees; Bristol-Myers: Consultancy, Honoraria; Amgen: Consultancy, Honoraria; Celgene: Consultancy, Honoraria, Membership on an entity's Board of Directors or advisory committees. Morgan: Celgene: Consultancy, Honoraria, Research Funding; Bristol Myers: Consultancy, Honoraria; Takeda: Consultancy, Honoraria.
Author notes
Asterisk with author names denotes non-ASH members.
